Pages
Hukum Bernoulli
Hukum Bernoulli
Dalam bentuknya yang sudah disederhanakan, secara umum terdapat dua bentuk persamaan Bernoulli; yang pertama berlaku untuk aliran tak-termampatkan (incompressible flow), dan yang lain adalah untuk fluida termampatkan (compressible flow).
Aliran Tak-termampatkan
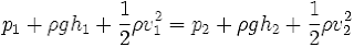
Aliran tak-termampatkan adalah aliran fluida yang dicirikan dengan tidak berubahnya besaran kerapatan massa (densitas) dari fluida di sepanjang aliran tersebut. Contoh fluida tak-termampatkan adalah: air, berbagai jenis minyak, emulsi, dll. Bentuk Persamaan Bernoulli untuk aliran tak-termampatkan adalah sebagai berikut:
di mana:
v = kecepatan fluida
h = ketinggian relatif terhadap suatu referensi
p = tekanan fluida
ρ = densitas fluida
Persamaan di atas berlaku untuk aliran tak-termampatkan dengan asumsi-asumsi sebagai berikut:
- Aliran bersifat tunak (steady state)
- Tidak terdapat gesekan (inviscid)
Dalam bentuk lain, Persamaan Bernoulli dapat dituliskan sebagai berikut:
Aliran Termampatkan
Aliran termampatkan adalah aliran fluida yang dicirikan dengan berubahnya besaran kerapatan massa (densitas) dari fluida di sepanjang aliran tersebut. Contoh fluida termampatkan adalah: udara, gas alam, dll. Persamaan Bernoulli untuk aliran termampatkan adalah sebagai berikut:
di mana:
= entalpi fluida per satuan massaCatatan: , di mana rumus di kiri tersebut adalah energi termodinamika per satuan massa, juga disebut sebagai energi internal spesifik.
/>
Langganan:
Posting Komentar (Atom)
Komentar Anda
Blog Archive
-
▼
2011
(30)
-
▼
Maret
(27)
- Crab Cowboy
- Kerja Menara Air
- Efek Nitrogen Bagi Penyelam
- Ruang Dekompresi
- Seberapa Lama Menahan Nafas ???
- Rekor Manusia Laut
- 5 Kutukan Misterius Terkenal
- Kata Bijak Einstein
- Anak Nakal VS Anak Kutu Buku
- Memasang Emotion di bagian Komentar
- 25 Fakte Aneh Tubuh Manusia
- Jenis-jenis Teh dan manfaatnya
- Penampakan Aneh Supporter Liverpool
- Lambang Garuda dari masa ke masa
- Sejarah Terjun Payung
- Bilangan Mach
- Hukum Bernoulli
- Nobel
- Asia Fanatik Motor ???
- Sepeda Vs Mobil
- Warga Miskin Lebih banyak Anak
- Air Terjuan biasa!!! Api Terjun ????
- Foto Asli yang mirip kayak photosos !!!
- Contoh soal Titik Berat
- Jika aku dewasa nanti…
- Jika aku jadi Guru Fisika….
- Mengapa saya menjadi malas ?
-
▼
Maret
(27)
Entri Populer
-
Hi Agan/sista, ada 5 kutukan misterius yang paling Terkenal. Bagi yang sering membaca pasti sudah tau. Nah bagi yang belum Tau baca aja nih...
-
Alpheus Saxidomus, itu nama latinnya. Selain disebut dengan nama pistol crab, hewan ini juga dikenal dengan nama pistol shrimp karena bentuk...
-
Pada saat menyelam dengan kedalam tertentu, seorang penyelam (diver) memerlukan perlengkapan diving nya yaitu BCD (Bouyancy Compensating D...
-
Alarm sensor Cahaya Alarm ini menurut saya berfungsi alarm kebakaran atau bisa juga alarm bangun ketika lampu kamar dinyalakan. Bahan-ba...
-
Tanggal 16 Mei kemarin adalah waktu atau detik detik pengemuman hasil UN bagi kelas 3. Pasti sangat gugup yah menunggu hasil UN tersebut lul...
Pengikut
- Aneh
- Blogger
- Emoticon
- Fakta
- Fakta Aneh
- Fakta Manusia.
- fisika semester 2
- Garuda
- Indonesia
- Jenis
- Jenis Teh
- Kaskus
- kelas 10
- Lambang
- Lambang Garuda
- Lambang Indonesia
- Lambang RIS
- Manfaat
- Manfaat Teh.
- Manusia
- materi
- materi semester 2
- pelajaran fisika
- pelajaran fisika kelas 10
- Riset
- semester 2
- Smiley
- Teh
- Tubuh
- Tubuh Manusia
- Wordpress







0 komentar:
Posting Komentar